政策文件
·
规范性文件
·
其他文件
·
政策解读
政府信息
公开指南
和目录
·
政府信息公开指南
·
政府信息公开目录
政府信息
公开制度
·
国家相关文件
·
云南省文件
法定主动
公开内容
·
机构职能
·
法律法规
·
标准规范
·
双随机
·
预算公开
·
行政执法
·
行政许可
·
突发事件
·
危化登记
·
查询服务
·
诚信建设
·
意见征集
·
统计分析
·
建议提案
重点领域
信息公开
·
防汛抗旱
·
减灾救灾
·
挂牌督办
·
生产安全事故信息公开
·
灾害事故救援信息公开
政府信息
公开年报
依申请公开
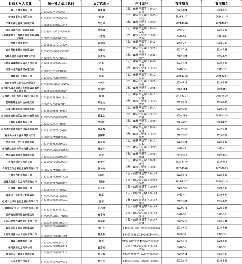
2022年行政许可公示(第一期)
发布时间:2022-05-09 09:16:25